Ăng ten tuần hoàn logarit
Khám phá ăng-ten logarit tuần hoàn, một ăng-ten đa thành phần, định hướng được thiết kế để hoạt động hiệu quả trên nhiều tần số.
Ăng-ten Yagi-Uda chủ yếu được sử dụng cho mục đích gia dụng. Tuy nhiên, cho mục đích thương mại và để điều chỉnh trên một phạm vi tần số, chúng ta cần có một ăng-ten khác được gọi là ăng-ten Log-periodic . Ăng-ten Log-periodic là ăng-ten có trở kháng là hàm tuần hoàn logarit của tần số.
Dải tần số
Dải tần số mà ăng-ten logarit hoạt động là khoảng 30 MHz đến 3 GHz thuộc băng tần VHF và UHF .
Cấu tạo và hoạt động của ăng-ten tuần hoàn logarit
Cấu trúc và hoạt động của ăng-ten log-periodic tương tự như ăng-ten Yagi-Uda. Ưu điểm chính của ăng-ten này là nó thể hiện các đặc tính không đổi trên một dải tần số hoạt động mong muốn. Nó có cùng điện trở bức xạ và do đó có cùng SWR. Độ lợi và tỷ lệ trước-sau cũng giống nhau.

Hình ảnh cho thấy một ăng-ten logarit tuần hoàn.
Với sự thay đổi tần số hoạt động, vùng hoạt động sẽ dịch chuyển giữa các phần tử và do đó tất cả các phần tử sẽ không chỉ hoạt động ở một tần số duy nhất. Đây là đặc điểm đặc biệt của nó .
Có một số loại ăng-ten log-periodic như loại phẳng, loại hình thang, loại zíc-zắc, loại chữ V, loại khe và loại lưỡng cực. Loại được sử dụng nhiều nhất là mảng lưỡng cực log-periodic, hay còn gọi là LPDA.

Sơ đồ của mảng logarit tuần hoàn được đưa ra ở trên.
Cấu trúc vật lý và đặc điểm điện, khi quan sát, có bản chất lặp lại. Mảng bao gồm các lưỡng cực có độ dài và khoảng cách khác nhau, được cấp nguồn từ đường truyền hai dây. Đường truyền này được chuyển vị giữa mỗi cặp lưỡng cực liền kề.
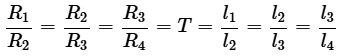
Chiều dài và khoảng cách lưỡng cực được liên hệ bởi công thức −
Ở đâu
- là tỷ lệ thiết kế và <1
- R là khoảng cách giữa nguồn cấp và lưỡng cực
- l là chiều dài của lưỡng cực.
Các mức tăng chỉ thị thu được là thấp đến trung bình. Các mẫu bức xạ có thể là Đơn hướng hoặc Song hướng .
Mẫu bức xạ
Mẫu bức xạ của ăng-ten logarit có thể là một chiều hoặc hai chiều, tùy thuộc vào cấu trúc logarit tuần hoàn.
Đối với anten logarit đơn hướng , bức xạ hướng tới phần tử ngắn hơn có lượng đáng kể, trong khi theo hướng về phía trước, bức xạ này nhỏ hoặc bằng không.

Mẫu bức xạ cho ăng-ten logarit tuần hoàn đơn hướng được đưa ra ở trên.
Đối với anten logarit tuần hoàn hai chiều , bức xạ cực đại nằm ở cạnh rộng, vuông góc với bề mặt của anten.

Hình minh họa ở trên cho thấy mô hình bức xạ của một ăng-ten logarit tuần hoàn hai chiều.
Thuận lợi
Sau đây là những ưu điểm của ăng-ten Log-periodic −
- Thiết kế ăng-ten nhỏ gọn.
- Độ khuếch đại và mẫu bức xạ có thể thay đổi tùy theo yêu cầu.
Nhược điểm
Sau đây là những nhược điểm của ăng-ten Log-periodic −
- Giá đỡ bên ngoài.
- Chi phí lắp đặt cao.
Ứng dụng
Sau đây là các ứng dụng của ăng-ten Log-periodic −
- Được sử dụng cho liên lạc HF.
- Được sử dụng cho một số loại chương trình truyền hình cụ thể.
- Được sử dụng để giám sát toàn diện ở các dải tần số cao hơn.
.jpg)
