Bộ khuếch đại chung cực gốc
Mạch khuếch đại có cực gốc chung là một cấu hình transistor lưỡng cực (BJT) cung cấp hiệu năng tần số cao và độ khuếch đại điện áp không đảo.
Bộ khuếch đại cực gốc chung (CB) là một loại bộ khuếch đại bán dẫn lưỡng cực (BJT) khác, trong đó cực gốc của transistor là cực chung cho cả tín hiệu đầu vào và đầu ra, do đó có tên là cực gốc chung (CB). Bộ khuếch đại cực gốc chung ít phổ biến hơn so với bộ khuếch đại cực phát chung (CE) hoặc cực thu chung (CC) phổ biến hơn, nhưng chúng vẫn được sử dụng do đặc tính đầu vào/đầu ra đặc thù của chúng.
Để một mạch khuếch đại có cực gốc chung hoạt động như một mạch khuếch đại, tín hiệu đầu vào được đưa vào cực phát, và tín hiệu đầu ra được lấy từ cực thu. Do đó, dòng điện cực phát là dòng điện đầu vào, và dòng điện cực thu là dòng điện đầu ra. Tuy nhiên, vì transistor là một thiết bị bán dẫn pn ba tầng, hai điểm, nên nó cần được phân cực đúng cách để hoạt động như một mạch khuếch đại có cực gốc chung; nghĩa là, mối nối cực gốc-cực phát phải được phân cực thuận.
Hãy xem xét các cấu hình khuếch đại cơ bản, có chung cực gốc dưới đây.
Mạch khuếch đại chung cực gốc sử dụng transistor NPN.

Từ cấu hình cực gốc-cực phát cơ bản, ta có thể thấy rằng các biến đầu vào liên quan đến dòng điện cực phát I E và điện áp cực gốc-cực phát V BE, trong khi các biến đầu ra liên quan đến dòng điện cực thu I C và điện áp cực thu-cực gốc V CB.
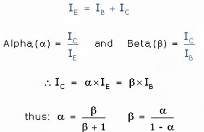
Vì dòng điện cực phát (I E ) cũng là dòng điện đầu vào, nên bất kỳ sự thay đổi nào trong dòng điện đầu vào sẽ gây ra sự thay đổi tương ứng trong dòng điện cực thu (I C ). Đối với bộ khuếch đại mắc chung cực gốc, hệ số khuếch đại dòng điện (A i ) được định nghĩa là i OUT / i IN , bản thân nó được xác định bởi công thức I C / I E . Hệ số khuếch đại dòng điện của bộ khuếch đại mắc chung cực gốc được gọi là alpha (α).
Trong mạch khuếch đại BJT, dòng điện cực phát luôn lớn hơn dòng điện cực thu, trong đó IE = LB + ICO . Do đó, hệ số khuếch đại dòng điện (α) của mạch khuếch đại phải nhỏ hơn một (1) vì ICO luôn nhỏ hơn IE một lượng bằng LB. Vì vậy , mạch khuếch đại CB làm suy giảm dòng điện, với α thường nằm trong khoảng từ 0,980 đến 0,995.
Mối quan hệ điện giữa dòng điện của ba transistor có thể được biểu diễn để thể hiện các biểu thức cho alpha α và beta β như hình minh họa.
hệ số khuếch đại dòng điện
Do đó, nếu giá trị beta của một transistor lưỡng cực tiêu chuẩn là 100, thì giá trị alpha sẽ được định nghĩa là: 100/101 = 0,99.
Độ khuếch đại điện áp của bộ khuếch đại
Vì mạch khuếch đại chung cực gốc không thể hoạt động như một mạch khuếch đại dòng điện (Ai ≅ 1), nên nó phải có khả năng hoạt động như một mạch khuếch đại điện áp. Hệ số khuếch đại điện áp của mạch khuếch đại chung cực gốc là tỷ lệ VOUT / VIN , tức là điện áp cực góp VC so với điện áp cực phát VE . Nói cách khác, VOUT = VC và VIN = VE .
Vì điện áp đầu ra VOUT phát sinh giữa điện trở cực góp RC , nên điện áp đầu ra phải là một hàm của IC. Theo định luật Ohm, VRC = IC * RC , do đó bất kỳ sự thay đổi nào trong IE sẽ dẫn đến sự thay đổi tương ứng trong IC.
Vậy thì, về cấu hình của bộ mở rộng cơ sở chung, chúng ta có thể nói như sau:

Vì IC/IE có giá trị alpha, ta có thể biểu diễn độ khuếch đại điện áp của bộ khuếch đại như sau:

Do đó, độ khuếch đại điện áp xấp xỉ tỷ lệ giữa điện trở cực góp và điện trở cực phát. Tuy nhiên, bên trong một transistor lưỡng cực có một mối nối diode pn duy nhất giữa các cực gốc và cực phát, tạo ra cái gọi là điện trở động của transistor (r'e).

Đối với tín hiệu đầu vào AC, mối nối diode phát có điện trở tín hiệu hiệu dụng nhỏ, được xác định bởi: r'e = 25mV/I E , trong đó 25mV là điện áp đốt nóng mối nối pn và I E là dòng điện phát. Do đó, khi dòng điện chạy qua cực phát tăng lên, điện trở cực phát giảm tỷ lệ thuận.
Một phần dòng điện đầu vào chảy qua điện trở nối tiếp cực gốc-cực phát bên trong đến cực âm, cũng như qua điện trở cực phát bên ngoài (R₂E₀ ) . Để phân tích tín hiệu nhỏ, hai điện trở này được mắc song song.
Vì giá trị của r'e rất nhỏ, và giá trị của R₂E thường lớn hơn nhiều, điển hình là trong phạm vi kilohm (kΩ), nên độ lớn của hệ số khuếch đại điện áp của bộ khuếch đại thay đổi động theo các mức dòng điện phát khác nhau.
Do đó, nếu R E ≫ r'e, thì độ lợi điện áp thực của bộ khuếch đại mắc chung cực gốc sẽ như sau:

Vì hệ số khuếch đại dòng điện xấp xỉ bằng một khi I₂C ≅ IE , phương trình khuếch đại điện áp được rút gọn thành:
Ví dụ, nếu dòng điện 1mA chạy qua mối nối cực phát-cực gốc, trở kháng động sẽ là 25mV/1mA = 25Ω. Hệ số khuếch đại điện áp (AV) đối với điện trở tải cực góp là 10kΩ sẽ là 10.000/25 = 400. Dòng điện chạy qua mối nối càng cao, trở kháng động càng thấp và hệ số khuếch đại điện áp càng cao.
Tương tự, điện trở tải càng lớn thì độ khuếch đại điện áp của mạch khuếch đại càng cao. Tuy nhiên, các mạch khuếch đại mắc chung cực gốc thực tế thường không sử dụng điện trở tải lớn hơn khoảng 20kΩ, với độ khuếch đại điện áp điển hình dao động từ khoảng 100 đến 2000 Ω tùy thuộc vào giá trị RC. Lưu ý rằng độ khuếch đại công suất của mạch khuếch đại có liên quan chặt chẽ đến độ khuếch đại điện áp.
Vì hệ số khuếch đại điện áp của mạch khuếch đại chung cực gốc phụ thuộc vào tỷ lệ giữa hai điện trở này, có thể kết luận rằng không có sự đảo pha giữa cực phát và cực thu. Do đó, dạng sóng đầu vào và đầu ra cùng pha, chứng tỏ mạch khuếch đại chung cực gốc là một mạch khuếch đại không đảo.
Trở kháng của bộ khuếch đại
Một trong những đặc tính thú vị của mạch khuếch đại chung cực trầm là tỷ lệ giữa trở kháng đầu vào và đầu ra, tạo ra một giá trị gọi là hệ số khuếch đại điện trở. Đây là một đặc tính cơ bản giúp khuếch đại tín hiệu. Trong ví dụ trên, đầu vào được nối với cực phát và đầu ra được lấy từ cực thu.
Giữa cực đầu vào và cực nối đất, có hai đường dẫn điện trở song song khả thi. Một đường dẫn đi qua điện trở phát R E đến đất, và đường dẫn kia đi qua r'e và cực gốc đến đất. Do đó, xét một cực phát có cực gốc nối đất, ta có thể nói: Z IN = R E || r'e
Tuy nhiên, vì điện trở phát động r'e rất nhỏ so với RE (r'e≪RE), nên điện trở phát động bên trong r'e chi phối phương trình, dẫn đến trở kháng đầu vào xấp xỉ bằng r'e.
Do đó, đối với cấu hình cực gốc chung, trở kháng đầu vào rất thấp và phụ thuộc vào trở kháng của nguồn RS được kết nối với cực phát. Trở kháng đầu vào có thể nằm trong khoảng từ 10Ω đến 200Ω. Trở kháng đầu vào thấp của các mạch khuếch đại cực gốc chung là một trong những lý do chính dẫn đến việc ứng dụng hạn chế của chúng như các mạch khuếch đại một tầng.
Tuy nhiên, trở kháng đầu ra của mạch khuếch đại CB có thể cao, tùy thuộc vào điện trở cực góp được sử dụng để điều khiển độ khuếch đại điện áp và điện trở tải ngoài được kết nối (R L ). Nếu điện trở tải được kết nối giữa hai đầu ra của mạch khuếch đại, thì điện trở tải được mắc song song với điện trở cực góp, do đó Z OUT = R C || R L.
Tuy nhiên, nếu điện trở tải ngoài RL rất lớn so với điện trở cực góp R C , thì R C sẽ chi phối phương trình song song, dẫn đến trở kháng đầu ra Z OUT ở mức trung bình, xấp xỉ bằng R C. Đối với cấu hình cực gốc chung, trở kháng đầu ra nhìn ngược lại các cực góp như sau: Z OUT = R C
Vì trở kháng đầu ra của mạch khuếch đại nhìn ngược về cực góp có thể rất cao, mạch khuếch đại chung cực gốc hoạt động tương tự như một nguồn dòng lý tưởng, lấy dòng điện đầu vào từ phía trở kháng đầu vào thấp và truyền nó đến phía trở kháng đầu ra cao. Do đó, cấu trúc của transistor chung cực gốc còn được gọi là mạch đệm dòng điện hoặc mạch theo dõi dòng điện, và ngược lại với mạch khuếch đại chung cực góp (CC), được gọi là mạch theo dõi điện áp.
Tóm tắt về việc mở rộng căn cứ chung.
Như chúng ta đã thấy trong hướng dẫn này về mạch khuếch đại chung cực gốc, mạch khuếch đại chung cực gốc có hệ số khuếch đại dòng điện (alpha) xấp xỉ một (một), nhưng hệ số khuếch đại điện áp cũng có thể rất cao, thường dao động từ 100 đến hơn 2.000 tùy thuộc vào giá trị R L của điện trở tải cực góp được sử dụng.
Chúng ta đã thấy rằng trở kháng đầu vào của mạch khuếch đại rất thấp, nhưng trở kháng đầu ra có thể rất cao. Chúng ta cũng đã nêu rằng mạch khuếch đại chung cực gốc không đảo tín hiệu đầu vào, bởi vì nó là một mạch khuếch đại không đảo.
Do đặc tính trở kháng đầu vào-đầu ra, mạch khuếch đại COBA (common base-to-base) đặc biệt hữu ích trong các ứng dụng âm thanh và tần số vô tuyến, hoạt động như một bộ đệm dòng điện để kết nối nguồn trở kháng thấp với tải trở kháng cao, hoặc như một mạch khuếch đại một tầng trong cấu hình cascode hoặc đa tầng, trong đó một tầng khuếch đại được sử dụng để điều khiển các tầng khác.
