.jpg)
Bộ khuếch đại nhật ký và chống nhật ký
Xem cách bộ khuếch đại nhật ký và chống nhật ký thực hiện các phép tính tương tự phức tạp ngay lập tức.
Các mạch điện tử thực hiện các phép toán như logarit và phản logarit (hàm mũ) với sự khuếch đại được gọi là bộ khuếch đại logarit và bộ khuếch đại phản logarit tương ứng.
Chương này thảo luận chi tiết về bộ khuếch đại logarit và bộ khuếch đại phản logarit. Xin lưu ý rằng những bộ khuếch đại thuộc các ứng dụng phi tuyến tính.
Bộ khuếch đại logarit
Bộ khuếch đại logarit, hoặc bộ khuếch đại logic, là một mạch điện tử tạo ra đầu ra tỷ lệ thuận với logarit của đầu vào được áp dụng. Phần này thảo luận chi tiết về bộ khuếch đại logarit dựa trên op-amp.
Bộ khuếch đại logarit dựa trên op-amp tạo ra điện áp ở đầu ra, tỷ lệ thuận với logarit của điện áp đặt vào điện trở được kết nối với cực đảo ngược của nó. Sơ đồ mạch của bộ khuếch đại logarit dựa trên op-amp được thể hiện trong hình sau

Trong mạch trên, thiết bị đầu cuối đầu vào không đảo ngược của op-amp được kết nối với đất. Điều đó có nghĩa là không vôn được áp dụng ở đầu cuối đầu vào không đảo ngược của op-amp.
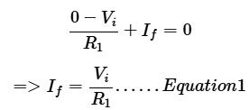
Theo khái niệm ngắn ảo, điện áp ở cực đầu vào đảo ngược của op-amp sẽ bằng điện áp ở đầu vào không đảo ngược của nó. Vì vậy, điện áp ở đầu cuối đầu vào đảo ngược sẽ bằng không vôn.
Phương trình nút tại nút đầu cuối đầu vào đảo ngược là -

Sau đây là phương trình cho dòng điện chạy qua một diode, khi nó ở trong phân cực thuận -

Trong đó,
- Is là dòng bão hòa của diode,
- Vf là điện áp giảm trên diode, khi nó ở độ lệch thuận,
- VT là điện áp tương đương nhiệt của điốt.
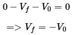
Phương trình KVL xung quanh vòng phản hồi của op amp sẽ là -

Thay thế giá trị của Vf trong Phương trình 2, chúng ta nhận được -

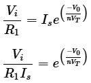
Quan sát thấy rằng các số hạng bên trái của cả phương trình 1 và phương trình 3 đều giống nhau. Do đó, đánh đồng số hạng bên phải của hai phương trình đó như hình dưới đây -

Áp dụng logarit tự nhiên ở cả hai bên, chúng ta nhận được -

Lưu ý rằng trong phương trình trên, các tham số n, VT và Is là hằng số. Vì vậy, điện áp V0 đầu ra sẽ tỷ lệ thuận với logarit tự nhiên của điện áp Vi đầu vào cho một giá trị cố định của điện trở R1 .
Do đó, mạch khuếch đại logarit dựa trên op-amp được thảo luận ở trên sẽ tạo ra đầu ra, tỷ lệ thuận với logarit tự nhiên của điện áp VT đầu vào, khi R1Is=1V .
Quan sát thấy rằng điện áp V0 đầu ra có dấu âm, cho thấy có sự chênh lệch 0 180 pha giữa đầu vào và đầu ra.
Bộ khuếch đại chống logarit
Bộ khuếch đại chống logarit, hoặc bộ khuếch đại chống log, là một mạch điện tử tạo ra đầu ra tỷ lệ thuận với phản logarit của đầu vào được áp dụng. Phần này thảo luận chi tiết về bộ khuếch đại chống logarit dựa trên op-amp.
Bộ khuếch đại chống logarit dựa trên op-amp tạo ra điện áp ở đầu ra, tỷ lệ thuận với phản logarit của điện áp được đặt vào diode được kết nối với cực đảo ngược của nó.
Sơ đồ mạch của bộ khuếch đại chống logarit dựa trên op-amp được thể hiện trong hình sau -

Trong mạch hiển thị ở trên, thiết bị đầu cuối đầu vào không đảo ngược của op-amp được kết nối với đất. Nó có nghĩa là không vôn được áp dụng cho thiết bị đầu cuối đầu vào không đảo ngược của nó.
Theo khái niệm ngắn ảo, điện áp tại cực đầu vào đảo ngược của op-amp sẽ bằng điện áp hiện diện tại đầu cuối đầu vào không đảo ngược của nó. Vì vậy, điện áp tại thiết bị đầu cuối đầu vào đảo ngược của nó sẽ bằng không vôn.
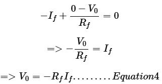
Phương trình nút tại nút đầu cuối đầu vào đảo ngược là -

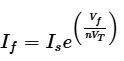
Chúng ta biết rằng phương trình cho dòng điện chạy qua một diode, khi nó ở độ lệch thuận, như được đưa ra bên dưới

Thay thế giá trị If vào phương trình thứ 4, chúng ta nhận được

Phương trình KVL ở phía đầu vào của thiết bị đầu cuối đảo pha của op-amp như sau.

Thay thế, giá trị của trong Phương trình 5, chúng ta nhận được -

Lưu ý rằng, trong phương trình trên, các tham số n, VT và Is là hằng số. Vì vậy, điện áp V0 đầu ra sẽ tỷ lệ thuận với logarit phản tự nhiên (hàm mũ) của điện áp Vi đầu vào, cho một giá trị cố định của điện trở Rf phản hồi.
Do đó, mạch khuếch đại chống logarit dựa trên op-amp được thảo luận ở trên sẽ tạo ra đầu ra, tỷ lệ thuận với logarit phản tự nhiên (hàm mũ) của điện áp Vi đầu vào khi, RfIs=1V . Quan sát rằng điện áp V0 đầu ra đang có dấu âm, điều này cho thấy rằng tồn tại sự chênh lệch 0 180 pha giữa đầu vào và đầu ra.
%20(1).jpg)
