Cách hoạt động của bộ chia điện áp
Xem cách bộ chia điện áp sử dụng điện trở để mở rộng công suất một cách hoàn hảo cho nhu cầu dự án của bạn.
Mạch chia điện áp là một mạch điện đơn giản có thể làm giảm điện áp. Nó phân phối điện áp đầu vào giữa các thành phần của mạch. Một ví dụ điển hình của mạch chia điện áp là hai điện trở mắc nối tiếp, điện áp đầu vào được đặt vào cặp điện trở và điện áp đầu ra được lấy từ điểm nằm giữa chúng. Mạch này được sử dụng để tạo ra các mức điện áp khác nhau từ một nguồn điện áp chung, nhưng với dòng điện bằng nhau cho tất cả các thành phần trong mạch nối tiếp.

Sụt áp và điện áp đầu vào.
Điện áp rơi trên R2 chính là điện áp đầu ra, và đó cũng là điện áp được chia cho toàn bộ mạch. Mạch chia điện áp so với đất được tạo ra bằng cách mắc nối tiếp hai điện trở. Điện áp đầu vào được đặt vào hai điện trở mắc nối tiếp R1 và R2, và đầu ra là điện áp trên R2. Do đó, cùng một giá trị dòng điện chạy qua mỗi phần tử điện trở của mạch không có nơi nào khác để đi, tạo ra điện áp rơi IxR trên mỗi phần tử điện trở.
Khi có điện áp đặt vào, ta có thể sử dụng định luật Kirchhoff về điện áp và định luật Ohm để tìm độ giảm điện áp trên mỗi điện trở do dòng điện tổng quát chạy qua chúng.
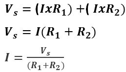
Sử dụng định luật Kirchhoff về điện áp (KVL).

Theo định luật Ohm.

Sử dụng hai phương trình trên, ta có:

Phương trình chia điện áp
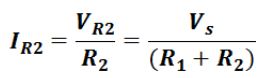
Trong mạch chia điện áp, điện áp đầu ra làm giảm điện áp đầu vào, và dòng điện chạy qua mạch nối tiếp có thể được tính bằng định luật Ohm I = V/R. Vì dòng điện chung cho cả hai điện trở, nên dòng điện chạy qua hai điện trở bằng nhau. Ta có thể tính độ giảm điện áp trên điện trở R2 bằng phương trình này:

Từ phương trình trên, bạn có thể tính được độ giảm điện áp trên R2:

Tương tự, đối với điện trở R1, ta có thể sử dụng phương trình:

Tiếp theo, hãy hiệu chỉnh độ sụt áp trên R1:

Ví dụ bài toán
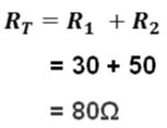
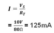
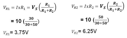
Tính toán độ giảm điện áp trên mỗi điện trở và lượng dòng điện chạy qua điện trở 30Ω mắc nối tiếp với điện trở 50Ω khi điện áp nguồn cấp cho mạch là 10 vôn DC.
Tính toán điện trở
Tính tổng trở của mạch và cộng tất cả các giá trị trở lại với nhau vì các điện trở được mắc nối tiếp.

Việc biết được tổng điện trở sẽ cho phép bạn tính toán dòng điện chạy qua điện trở.

Sử dụng phương trình trên, có thể tính được độ giảm điện áp trên điện trở.

Mạch chia điện áp và quy tắc 10%.
Khi xây dựng mạch chia điện áp cho một tải cụ thể, bạn cần biết điện áp sẽ cung cấp và điện trở tải. Mạch chia điện áp chỉ nên có dòng xả 10% – dòng điện được lấy liên tục từ nguồn điện áp để giảm thiểu ảnh hưởng của sự thay đổi tải hoặc để bù cho sự sụt giảm điện áp trên điện trở. Điều này có nghĩa là dòng điện chạy qua tải gấp mười lần dòng điện chạy qua đáy của mạch chia điện áp xuống đất.
Ví dụ:

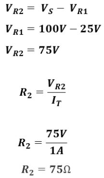
Yêu cầu đối với mạch chia điện áp này là cung cấp điện áp 25V và dòng điện 910mA cho tải từ nguồn điện áp 100V.
Tính toán R1 và R2.
Xác định giá trị điện trở sử dụng trong mạch chia điện áp bằng quy tắc 10% đơn giản. Dòng điện chạy qua điện trở chia điện áp phải xấp xỉ 10% dòng điện tải. Dòng điện này, không chạy qua bất kỳ thiết bị tải nào, được gọi là dòng điện dịch chuyển.
Trước tiên, hãy xác định yêu cầu về tải và các nguồn điện áp khả dụng.

Tiếp theo, điều chỉnh lưu lượng gió bằng cách sử dụng quy tắc 10%.

Sau khi thu được lưu lượng máu, bạn có thể tính toán điện trở đẩy máu trong R1.

Sau đó, hãy giải quyết toàn bộ vấn đề hiện tại bằng cách tăng tải và dòng điện xả.

Từ các giá trị đã tính toán, bạn có thể giải phương trình để tìm R2.

Giờ bạn có thể viết lại mạch chia điện áp theo quy tắc 10%.

Trong sơ đồ đầu tiên, lưu ý rằng điện trở của mạch song song sẽ luôn nhỏ hơn giá trị của điện trở nhỏ nhất trong mạch vì tải được nối giữa điểm B và đất tạo thành một mạch song song gồm các tải và điện trở R1.
Phiên bản được gắn nhãn "Ladder E".
Mạch thang điện áp là một mạch gồm nhiều điện trở mắc nối tiếp với độ sụt điện áp được phân bố đều trên toàn bộ mạng điện trở. Mỗi điện trở trong mạng có độ sụt điện áp cao hơn điện trở trước nó. Vì các điện trở trong mạch thang được mắc nối tiếp nên dòng điện là như nhau trên toàn mạch. Để có được giá trị này, bạn nên chia tổng điện áp cho tổng điện trở. Độ sụt điện áp trên mỗi điện trở riêng lẻ có thể được tính bằng cách nhân tổng dòng điện với giá trị của từng điện trở. Điện áp quy chiếu xuống đất tại bất kỳ nút nào có thể được định nghĩa là tổng độ sụt điện áp của mỗi điện trở giữa nút đó và đất.

Hi vọng bài viết này đã giúp bạn hiểu rõ hơn về mạch chia điện áp.
