Định lý truyền công suất cực đại
Trong bài viết này, chúng ta hãy thảo luận về định lý truyền tải công suất cực đại cho mạch DC.
Lượng công suất mà tải nhận được là một thông số quan trọng trong các ứng dụng điện và điện tử. Trong mạch điện một chiều, chúng ta có thể biểu diễn tải bằng một điện trở có giá trị RL ohm. Tương tự, trong mạch điện xoay chiều, chúng ta có thể biểu diễn tải bằng một tải phức tạp có trở kháng ZL ohm.
Định lý truyền công suất cực đại phát biểu rằng nguồn điện một chiều sẽ cung cấp công suất cực đại cho điện trở tải biến thiên chỉ khi điện trở tải bằng với điện trở nguồn.
Tương tự như vậy, định lý truyền tải công suất cực đại phát biểu rằng nguồn điện xoay chiều sẽ cung cấp công suất cực đại cho tải phức hợp thay đổi chỉ khi trở kháng tải bằng liên hợp phức hợp của trở kháng nguồn.
Trong bài viết này, chúng ta hãy thảo luận về định lý truyền tải công suất cực đại cho mạch DC.
Bằng chứng của Định lý truyền công suất cực đại
Thay thế bất kỳ mạng lưới tuyến tính hai đầu cuối hoặc mạch điện nào ở phía bên trái của điện trở tải biến thiên có điện trở RL ohm bằng mạch tương đương Thevenins. Ta biết rằng mạch tương đương Thevenins giống như một nguồn điện áp thực tế.
Khái niệm này được minh họa trong các hình sau.

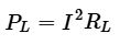
Lượng điện năng tiêu tán trên điện trở tải là

Thay thế

trong phương trình trên.

Điều kiện để truyền tải công suất tối đa
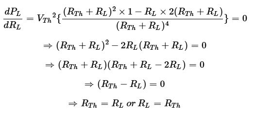
Đối với giá trị cực đại hoặc cực tiểu, đạo hàm bậc nhất sẽ bằng 0. Vì vậy, hãy vi phân Phương trình 1 theo RL và làm cho nó bằng 0.

Do đó, điều kiện để công suất tiêu tán cực đại trên tải là RL = RTh. Điều đó có nghĩa là, nếu giá trị điện trở tải bằng giá trị điện trở nguồn, tức là điện trở Thevenins, thì công suất tiêu tán trên tải sẽ có giá trị cực đại.
Giá trị của Truyền tải công suất tối đa
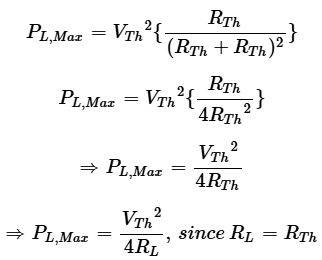
Thay thế RL = RTh & PL= PL,Max trong Phương trình 1.

Do đó, lượng điện năng tối đa được truyền đến tải là

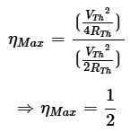
Hiệu suất truyền tải công suất tối đa
Chúng ta có thể tính toán hiệu suất truyền tải công suất cực đại, η

Ở đâu,
- PL,Max là lượng công suất tối đa được truyền tới tải.
- PS là lượng điện năng được tạo ra bởi nguồn.
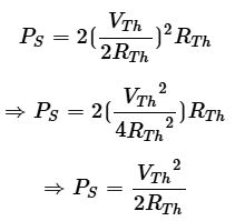
Lượng điện năng được tạo ra bởi nguồn là

- Thay thế

trong phương trình trên.

- Thay thế các giá trị của PLmax và PS trong Phương trình 2.

Chúng ta có thể biểu diễn hiệu suất truyền tải công suất tối đa theo phần trăm như sau −

Do đó, hiệu suất truyền tải công suất cực đại là 50% .
Ví dụ
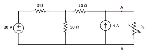
Tìm công suất cực đại có thể truyền tới điện trở tải RL của mạch điện được thể hiện trong hình sau.

Bước 1 - Trong chương Định lý Thevenins, chúng ta đã tính toán mạch tương đương Thevenins ở vế trái của các cực A và B. Bây giờ chúng ta có thể sử dụng mạch này. Nó được thể hiện trong hình sau.

Ở đây, điện áp Thevenins

và sức đề kháng Thevenins

Bước 2 - Thay thế phần mạch nằm bên trái các cực A và B của mạch đã cho bằng mạch tương đương Thevenins ở trên. Sơ đồ mạch kết quả được thể hiện trong hình sau.

Bước 3 − Chúng ta có thể tìm công suất cực đại sẽ được cung cấp cho điện trở tải, RL bằng cách sử dụng công thức sau.

Thay thế V

Và

trong công thức trên.

Do đó, công suất cực đại sẽ được cung cấp cho điện trở tải RL của mạch cho trước là
.jpg)
