
Máy biến dòng điện là gì
Khám phá cách Current Sense Transformer cách mạng hóa việc giám sát năng lượng với độ chính xác và hiệu quả được nâng cao.
Máy biến dòng cảm biến dòng điện hay máy biến dòng điện là loại máy biến áp được sử dụng khi cần đo dòng điện trong một dây dẫn và cũng cần cách ly dòng điện (Lưu ý: phải là dòng điện xoay chiều).
Máy biến dòng tạo ra dòng điện xoay chiều trong mạch thứ cấp, tỷ lệ thuận với dòng điện trong mạch sơ cấp. Khi biết tỷ số vòng dây, dòng điện trong mạch sơ cấp và thứ cấp được nối với nhau, và nếu đo được dòng điện trong mạch thứ cấp, có thể xác định được dòng điện chạy trong mạch sơ cấp.

Vì lý do này, máy biến dòng là phương pháp phù hợp để đo dòng điện trong nhiều tình huống và trong nhiều thiết kế mạch điện tử khác nhau.
Cơ bản về máy biến dòng điện
Mặc dù máy biến dòng có cùng đặc điểm cơ bản như máy biến điện áp thông dụng, nhưng mục đích sử dụng của chúng rất khác nhau và do đó, thiết kế của chúng cũng khác nhau đáng kể.
Máy biến dòng sơ cấp thường được thiết kế để dẫn dòng điện lớn, tức là tổng dòng điện của mạch sơ cấp mà máy biến dòng được lắp đặt để đo dòng điện. Do đó, máy biến dòng sơ cấp có thể là một cuộn dây đơn hoặc một cuộn dây chịu tải nặng, hoặc có thể chỉ là một dây dẫn chạy qua lõi máy biến áp.
Xét đến thực tế là máy biến dòng được đặt nối tiếp với tải trong mạch chính, nên những máy biến dòng này đôi khi được gọi là "máy biến dòng nối tiếp".
Mạch thứ cấp có nhiều vòng hơn nên có thể tạo ra đủ dòng điện để dễ dàng đo lường.
Lõi thường có thể là lõi nhiều lớp làm từ vật liệu từ tính có tổn thất thấp, hoặc máy biến áp hình xuyến cũng rất phổ biến. Bất kể thiết kế nào, lõi đều có diện tích mặt cắt ngang lớn, tạo ra mật độ từ thông thấp, cho phép máy biến áp cung cấp dòng điện không đổi tốt nhất có thể, bất kể tải được kết nối là bao nhiêu.
Máy biến dòng có thể có nhiều dạng:
• Biến áp hình xuyến: Biến áp hình xuyến rất phổ biến trong nhiều ứng dụng. Các biến áp này thường có cuộn dây thứ cấp quấn quanh thân biến áp, nhưng dây dẫn sơ cấp được luồn trực tiếp qua tâm thân biến áp.
Để máy biến áp có thể kẹp chặt vào dây dẫn, máy biến áp có thể được tách ra và lắp một cơ cấu kẹp cho phép quấn quanh dây dẫn và kẹp chặt tại chỗ để chúng không bị rơi ra. Phương pháp này rất phổ biến cho các ứng dụng đòi hỏi phải lắp đặt máy biến áp cảm biến dòng điện vào dây dẫn hoặc dây dẫn hiện có, hoặc khi cần thay đổi.
• Máy biến áp dây quấn thông thường: Một loại máy biến áp AC phổ biến khác là máy biến áp dây quấn. Loại máy biến áp này có sẵn từ các nhà cung cấp và nhà sản xuất linh kiện điện tử, và có nhiều loại khác nhau từ nhiều nhà sản xuất. Các máy biến áp này thường được tích hợp vào các hệ thống điện tử, nơi chúng là một linh kiện điện tử cố định và là một phần của thiết kế.
• Biến áp thanh cái: Loại biến áp này thường được sử dụng trong các ứng dụng dòng điện cao, nơi cần thanh cái cho mức dòng điện cao. Cáp mạch chính hoặc thanh cái được sử dụng làm cuộn dây sơ cấp và được đặc trưng bởi một vòng dây duy nhất. Cuộn dây thứ cấp được quấn song song với nó.
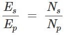
Tỷ số vòng quay và tỷ số dòng điện
Người ta đều biết rằng để tăng điện áp đầu ra của máy biến áp, cuộn dây thứ cấp phải có nhiều vòng hơn cuộn dây sơ cấp.
Trên thực tế, chúng ta có thể diễn đạt sự thật này bằng toán học với công thức dưới đây:

Ở đâu:
Ep là EMF chính.
Es là EMF thứ cấp.
Np là số vòng dây của mạch chính.
Ns là số vòng đấu bán kết.
EMF là cần thiết vì EMF không nhất thiết phải là điện áp đầu ra, vì có thể xảy ra sụt áp khi có dòng điện chạy qua.
Tổn thất của máy biến áp thường khá thấp, nghĩa là công suất đầu vào gần như bằng công suất đầu ra.

Ở đâu:
Ep là EMF đầu vào chính.
Es là EMF thứ cấp hoặc đầu ra.
Ip là dòng điện trong cuộn dây sơ cấp.
là dòng điện trong cuộn dây thứ cấp
Điều này dẫn đến việc xác định tỷ số dòng điện giữa đầu vào và đầu ra của máy biến dòng.
Do đó, máy biến dòng, giống như tất cả các máy biến dòng khác, phải tuân theo phương trình ampe-vòng, do đó có thể thấy rằng tỷ số vòng dây quyết định mức dòng điện đầu vào và đầu ra.

Ở đâu:
Np là số vòng dây của cuộn dây sơ cấp.
Ns là số vòng dây của cuộn dây thứ cấp.
là dòng điện trong cuộn dây thứ cấp
Ip là dòng điện trong cuộn dây sơ cấp.
Điều đáng chú ý là tỷ số dòng điện tỉ lệ nghịch với tỷ số vòng dây.
Làm việc như một tải trọng
Máy biến dòng phải luôn hoạt động theo tải mà nó được thiết kế, nghĩa là giữ cho mạch hở khi dòng điện chạy vào cuộn sơ cấp. Đây có lẽ là nguyên tắc chính khi sử dụng loại máy biến dòng này.
Nguyên nhân là khi mạch thứ cấp để hở, tức là không có tải, từ thông tăng lên rất nhiều và vì không có dòng điện trở trong mạch thứ cấp nên điện áp trong mạch thứ cấp rất cao, thường tăng lên tới vài kilovolt.
Điện áp thứ cấp rất cao này có thể gây điện giật cho người dùng nếu vô tình chạm vào các đầu cực của máy biến áp và cũng có thể làm hỏng lớp cách điện.
Sử dụng máy biến dòng
Trên thực tế, có nhiều khu vực có thể sử dụng máy biến dòng, bất cứ nơi nào sử dụng nguồn điện xoay chiều, nơi cần cách ly điện giữa mạch chính và mạch đo, và nơi cần một cách đơn giản để kết nối các thiết bị kiểm tra mà không làm gián đoạn nguồn điện.
Có nhiều ví dụ về việc sử dụng máy biến dòng:
- Đo dòng điện chạy qua nhiều mạch cung cấp điện
- Đo dòng điện đầu ra trong hệ thống pin mặt trời để cho phép các thiết bị gia dụng như máy nước nóng chỉ sử dụng nguồn điện dự phòng.
- Máy biến dòng có thể được sử dụng trong một số thiết bị thử nghiệm như một phần khả năng đo dòng điện của chúng.
- Bảo vệ quá dòng - Máy biến dòng có thể được sử dụng ở một số khu vực để giúp phát hiện dòng điện chạy vào và phát hiện tình trạng quá tải.
- Phát hiện rò rỉ điện
- Gợi ý về nguồn điện chuyển mạch
Máy biến dòng có nhiều ứng dụng khác nhau, xuất hiện ở nhiều địa điểm khác nhau.
Đồng hồ kẹp
Một ứng dụng phổ biến của máy biến dòng trong cuộc sống hàng ngày là làm đồng hồ đo điện hoặc đồng hồ vạn năng, còn được gọi là đồng hồ kẹp.
Vì thợ điện thường cần đo dòng điện chạy trong dây nên cách thực sự thuận tiện duy nhất để thực hiện việc này là kẹp quanh dây một máy biến áp hình vòng đặc biệt, là một phần của loại ampe kế kẹp.

Biến áp hình xuyến có thể được bật và tắt xung quanh dây dẫn điện mà không cần ngắt kết nối. Kẹp hình xuyến hoạt động như một biến áp và được kết nối với mạch bên trong của đồng hồ đo, có chức năng đo dòng điện, xử lý và hiển thị số đọc, thường được hiển thị dưới dạng kỹ thuật số.
Các ampe kìm này thường có các đầu cuối tiêu chuẩn để đo điện trở và cũng có thể đo dòng điện trong mạch, nhưng với tư cách là ampe kìm đo dòng điện, loại vạn năng kế này vượt trội hơn.
Thông số kỹ thuật máy biến dòng
Khi lựa chọn máy biến dòng, có rất nhiều tính năng khác nhau cần xem xét. Mặc dù hầu hết đều được mong đợi, vẫn có một số khía cạnh cần lưu ý.
Có nhiều thông số kỹ thuật khác nhau có thể áp dụng cho máy biến dòng và sau đây chỉ là một số thông số kỹ thuật quan trọng và thường được sử dụng nhất.
- Loại: Việc lựa chọn loại máy biến áp cần thiết rất quan trọng, không chỉ phụ thuộc vào loại ứng dụng mà còn phụ thuộc vào dòng điện cần giám sát. Hãy đảm bảo rằng loại máy biến áp phù hợp với ứng dụng, ví dụ: nếu cần lắp đặt thêm, máy biến áp phải có khả năng cố định vào đường dây điện.
- Mức dòng điện: Mức dòng điện phải được chỉ định cho cả mạch sơ cấp và thứ cấp. Mạch sơ cấp phải chịu được mức dòng điện dự kiến trong mạch sơ cấp (với đủ khả năng quá tải), và mạch thứ cấp phải cung cấp đủ dòng điện để điều khiển ampe kế trong bất kỳ cấu hình nào. Tỷ lệ này phụ thuộc vào tỷ số vòng dây.
- Dải tần số: Dải tần số của tất cả các máy biến áp đều có giới hạn, và tất nhiên, máy biến dòng cũng không ngoại lệ. Các máy biến áp này thường được sản xuất cho dải tần số hẹp, thường được sử dụng trên lưới điện chính/đường dây ở tần số 50/60 Hz, và một số mẫu có thể hoạt động ở tần số cao tới 100 kHz hoặc hơn. Các máy biến áp này thường được sử dụng trên các bộ nguồn chế độ chuyển mạch, tuy nhiên, dải tần số cần được kiểm tra.
- Hiệu suất tải và ampe kế: Dòng điện đầu ra của máy biến dòng thường được chỉ định cho một tải nhất định. Đồng hồ đo được sử dụng để đo dòng điện phải phù hợp với giá trị được chỉ định. Một số máy biến dòng có sẵn thiết bị đo dòng điện tích hợp để khớp với hai linh kiện điện tử và loại bỏ mọi sai lệch.
Điều quan trọng là phải xác định đúng máy biến dòng cho ứng dụng để đảm bảo mạch điện tử hoạt động như mong đợi.
Máy biến dòng hay biến dòng điện được sử dụng trong nhiều lĩnh vực thiết kế mạch điện tử để cảm biến dòng điện trong nhiều tình huống khác nhau. Không có gì ngạc nhiên khi có rất nhiều loại máy biến dòng khác nhau, với nhiều hình dạng và kích thước khác nhau để phù hợp với nhiều nhu cầu khác nhau. Do đó, các linh kiện điện tử hữu ích này gần như chắc chắn sẽ có sẵn với hình dạng mong muốn và các thông số kỹ thuật cần thiết.

