Cầu Wheatstone
Tìm hiểu cách cân bằng mạch Wheatstone Bridge để đo điện trở chưa biết với độ chính xác đáng kinh ngạc.
Mạch Wheatstone Bridge là tên được đặt cho một mạch bao gồm bốn điện trở được kết nối theo hình kim cương. Để đo điện trở không xác định với giá trị trung tâm bằng không.
Mạch Wheatstone Bridge sử dụng một mạng lưới gồm hai bộ chia áp suất.
Mạch Bridge Wheatstone là một mạch hình kim cương, được phát minh bởi Charles Wheatstone nhiều năm trước. Nó có thể được sử dụng để đo chính xác điện trở không xác định. Bằng cách cân bằng hai mạng lưới chia áp suất.
Mặc dù đồng hồ vạn năng kỹ thuật số hiện là cách dễ nhất để đo điện trở, nhưng chúng vẫn có thể được sử dụng trong mạch. Bridgewheatstone để so sánh điện trở chưa biết với điện trở đã biết cho các phép đo điện trở có độ chính xác cao, cho phép đo chính xác các giá trị điện trở rất thấp. Ngay cả ở cấp độ miliohm. ( mΩ )
Mạch cầu Wheatstone (hoặc cầu điện trở) có thể được sử dụng trong nhiều ứng dụng khác nhau. Chúng ta có thể sử dụng mạch Bridgewheatstone để kết nối các đầu dò và cảm biến khác nhau với các mạch khuếch đại này.
Mạch cầu wheatstone không gì khác hơn là một loạt các sắp xếp điện trở song song đơn giản được kết nối giữa điện áp và đầu nối đất. Khi cân bằng, có một hiệu điện thế bằng không giữa hai nhánh song song.
Mạch Wheatstone Bridge có hai đầu vào và hai đầu ra, bao gồm bốn điện trở được sắp xếp theo mô hình giống như kim cương quen thuộc như trong hình. Đây là đặc điểm chung của bản vẽ mạch cầu Wheatstone.
Mạch cầu Wheatstone cơ bản

Khi cân bằng, mạch Bridgewheatstone có thể dễ dàng phân tích dưới dạng hai mạch nối tiếp được kết nối song song. Trong bài học về điện trở nối tiếp, chúng ta đã thấy rằng mỗi điện trở trong một mạch nối tiếp sẽ gây ra Giảm điện áp (giảm điện áp hồng ngoại) là kết quả của dòng điện chạy qua nó như được định nghĩa bởi định luật Ohm. Chúng ta hãy xem xét mạch nối tiếp dưới đây.

Điều này là do hai điện trở được kết nối nối tiếp. Do đó, dòng điện (i) chạy qua cả hai điện trở bằng nhau. Do đó, Do đó, dòng điện chạy qua hai điện trở nối tiếp này có thể được định nghĩa là: I = V / RT.
I = V ÷ R = 12V ÷ (10Ω + 20Ω) = 0.4A (400mA)
Điện áp tại điểm C, là điện áp rơi trên điện trở dưới R2, được tính như sau:
VR2 = I × R2 = 0.4A × 20Ω = 8 โวลต์
Sau đó, chúng ta có thể thấy rằng điện áp nguồn VS được chia giữa hai điện trở nối tiếp tỷ lệ thuận với giá trị điện trở, trong đó VR1 = 4V và VR2 = 8V.
Đây là nguyên tắc cơ bản của phân tách điện áp, tạo ra cái thường được gọi là mạch ngắt điện áp hoặc mạng ngắt điện áp.
Nếu chúng ta thêm một mạch điện trở nối tiếp khác, Bằng cách sử dụng cùng một giá trị điện trở với mạch đầu tiên, song song với mạch đầu tiên, mạch điện trở sau sẽ thu được.

Điều này là do mạch nối tiếp thứ hai có cùng giá trị điện trở với mạch đầu tiên. Do đó, điện áp tại điểm D, tức là điện áp rơi trên điện trở R4, là 8 vôn so với không (cực âm của pin). Do đó, hai mạch điện trở hoàn toàn giống nhau.
Nhưng điều quan trọng không kém là chênh lệch điện áp giữa điểm C và điểm D bằng không vôn. Điều này là do cả hai điểm đều có cùng giá trị điện áp là 8 volt.
Do đó: C = D = 8 volt, cho hiệu điện thế giữa chúng bằng: 0. Vôn
Khi điều này xảy ra, cả hai mặt của mạch cầu song song đều ở trạng thái "cân bằng", vì điện áp tại điểm C bằng điện áp tại điểm D, với hiệu số bằng không.
Bây giờ chúng ta hãy xem xét điều gì sẽ xảy ra nếu chúng ta chuyển đổi vị trí của hai điện trở, R3 và R4, trong mạch song song thứ hai, so với R1 và R2.

Khi chuyển đổi các cực của điện trở R3 và R4, dòng điện chạy qua mạch nối tiếp vẫn giữ nguyên và điện áp tại điểm D, là điện áp rơi qua điện trở R4, như sau:
VR4 = 0.4A × 10Ω = 4 โวลต์
Bây giờ khi VR4 có điện áp giảm 4 vôn, chênh lệch điện áp giữa các điểm C và D sẽ là 4 vôn, vì C = 8 vôn và D = 4 vôn, vì vậy lần này chênh lệch điện áp là 8 – 4 = 4 vôn.
Kết quả của việc chuyển đổi hai điện trở là hai bên hoặc "cánh tay" của mạch song song có giá trị khác nhau, vì chúng gây ra sự sụt giảm điện áp khác nhau. Khi điều này xảy ra, mạch song song ở trạng thái không cân bằng vì áp suất tại điểm C khác với áp suất tại điểm D.
Sau đó, chúng ta có thể thấy rằng tỷ lệ trở kháng của hai nhánh song song này, ACB và ADB, dẫn đến chênh lệch điện thế giữa 0 vôn (cân bằng) và điện áp cực đại của nguồn cung cấp (không cân bằng). Và đây là nguyên tắc cơ bản của chu trình Bridgewheatstone.
Do đó, chúng ta có thể thấy rằng mạch Wheatstone Bridge có thể được sử dụng để so sánh giá trị điện trở không xác định RX với các giá trị điện trở đã biết khác. Ví dụ: R1 và R2 có giá trị hằng số, trong khi R3 có thể là giá trị có thể thay đổi.
Nếu chúng ta kết nối vôn kế, Một ampe kế hoặc điện kế truyền thống giữa các điểm C và D và sau đó điều chỉnh giá trị điện trở R3 cho đến khi đồng hồ đọc bằng không, hai nhánh sẽ được cân bằng và giá trị của RX (thay vì R4) sẽ được biết như trong hình.
Mạch Bridgewheatstone
Bằng cách thay thế R4 ở trên bằng một điện trở có giá trị đã biết hoặc chưa biết trong cánh tay nhận của mạch Bridgewheatstone tương ứng với RX và điều chỉnh điện trở đối diện với R3 để "cân bằng" mạch cầu, đầu ra điện áp bằng không đạt được.
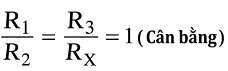
Phương trình mạch bridgewheatstone cần thiết để xác định điện trở chưa biết RX ở trạng thái cân bằng như sau:
trong đó điện trở R1 và R2 là các giá trị đã biết hoặc đặt trước.
Ví dụ sử dụng 1
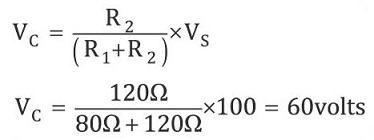
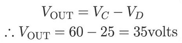
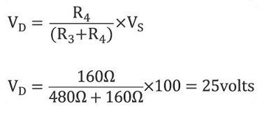
Mạch cầu wheatstone không cân bằng sau đây được tạo ra. Tính toán điện áp đầu ra tại các điểm C và D và các giá trị của điện trở R4 cần thiết để cân bằng mạch cầu.

Đối với loạt vũ khí đầu tiên, đó là ACB.
Đối với cánh tay sê-ri thứ hai là ADB.
Điện áp tại điểm CD như sau:
Các giá trị điện trở R4 cần thiết để cân bằng mạch cầu như sau:
Từ những điều trên. Chúng ta đã thấy rằng Bridgewheatstone Circuit Nó có hai thiết bị đầu cuối đầu vào (AB) và hai thiết bị đầu cuối đầu ra (CD).
Khi mạch cầu ở trạng thái cân bằng. Điện áp tại các cực đầu ra sẽ là 0 vôn, nhưng khi mạch cầu ở trạng thái không cân bằng, điện áp đầu ra có thể dương hoặc âm. Tùy thuộc vào hướng mất cân bằng.
Máy dò ánh sáng cầu Wheatstone
Mạch cầu cân bằng có nhiều ứng dụng điện tử hữu ích, chẳng hạn như được sử dụng để đo những thay đổi về cường độ ánh sáng. áp lực, hoặc căng thẳng.
Cảm biến điện trở có thể được sử dụng trong các mạch bridgewheatstone bao gồm cảm biến điện trở quang học (LDR), cảm biến vị trí (chiết áp), cảm biến điện trở piezo (máy đo biến dạng) và cảm biến nhiệt độ (nhiệt điện trở), v.v.
Cầu Wheatstone có nhiều ứng dụng trong một loạt các phép đo định lượng cơ và điện. Nhưng một cách sử dụng rất đơn giản của cầu đá lúa mì là đo ánh sáng bằng thiết bị kháng ánh sáng. Nó thay thế một điện trở trong mạch cầu bằng điện trở phụ thuộc vào ánh sáng, hoặc LDR.
LDR, còn được gọi là tế bào quang điện cadmium sulfide (CDS), là cảm biến điện trở thụ động chuyển đổi những thay đổi về mức độ ánh sáng nhìn thấy thành những thay đổi về điện trở và gây ra điện áp. Điện trở phụ thuộc vào ánh sáng có thể được sử dụng để theo dõi và đo cường độ ánh sáng hoặc để kiểm tra xem nguồn sáng đang bật hay tắt.
Nói chung, các tế bào cadmium sulfide (CdS), chẳng hạn như điện trở nhạy cảm với ánh sáng ORP12, có điện trở khoảng 1 megaohm (MΩ). Trong điều kiện ánh sáng tối hoặc mờ. Nó là khoảng 900 Ω ở cường độ ánh sáng 100 lux (điển hình của những căn phòng đủ ánh sáng) và giảm xuống khoảng 30 Ω dưới ánh sáng mặt trời chói chang.
Sau đó, khi cường độ ánh sáng tăng lên, Điện trở được giảm bằng cách kết nối một điện trở nhạy cảm với ánh sáng với mạch bắc cầu đá lúa mì ở trên. Chúng ta có thể theo dõi và đo lường sự thay đổi mức độ ánh sáng như hình minh họa.
Mạch phát hiện ánh sáng đơn giản
Tế bào quang điện LDR được kết nối với một cầu đá lúa mì, như trong hình, để tạo ra một công tắc nhạy sáng sẽ kích hoạt khi mức ánh sáng được phát hiện cao hơn hoặc thấp hơn mức đặt trước của VR1.
Hoạt động ampmạch khuếch đại (op-amp) được kết nối với mạch so sánh điện áp, sử dụng điện áp tham chiếu VD được kết nối với chân đảo chiều không pha. Trong ví dụ này, vì R3 và R4 giống nhau nên nó là 10kΩ. Do đó, điện áp tham chiếu đặt tại điểm D bằng một nửa Vcc, tức là Vcc / 2.
Điện trở có thể điều chỉnh VR1 được sử dụng để đặt điện áp kích thích VC được đưa vào đầu vào đảo pha và đặt nó ở mức ánh sáng mong muốn. Rơle được kích hoạt khi điện áp tại điểm C nhỏ hơn điện áp tại điểm D.
Điều chế VR1 đặt điện áp tại điểm C để cân bằng mạch cầu ở mức ánh sáng hoặc cường độ ánh sáng mong muốn.
Xin lưu ý rằng mạch này có thể được sử dụng như một mạch điều khiển bật-tắt quang học hoặc mạch điều khiển bật-tắt tối. Chỉ cần chuyển đổi vị trí của LDR và R3 trong mạch.
Tóm tắt các bài học về mạch Bridgewheatstone
Cầu Wheatstone Circuit Có rất nhiều lợi ích trong mạch điện tử. Ngoài việc so sánh giá trị điện trở chưa biết với giá trị điện trở đã biết, Khi được sử dụng cùng với tín hiệu hoạt động ampchất lót. Cầu Wheatstone có thể được sử dụng để đo và khuếch đại những thay đổi tinh tế về điện trở (RX), chẳng hạn như thay đổi cường độ ánh sáng.
Do đó, bằng cách thay thế các cảm biến ánh sáng LDR nói trên bằng nhiệt điện trở, cảm biến áp suất, máy đo biến dạng và các đầu dò khác, cũng như chuyển đổi vị trí của LDR và VR1, chúng ta có thể sử dụng chúng trong một loạt các ứng dụng bắc cầu đá lúa mì khác.
Ngoài ra, nhiều hơn một cảm biến điện trở trong bốn nhánh (hoặc nhánh) của cầu được hình thành bởi điện trở R1 đến R4 có thể được sử dụng để tạo ra mạch "cầu đầy đủ", "nửa cầu" hoặc "cầu quý", cung cấp bù nhiệt hoặc cân bằng tự động của cầu đá lúa mì.
