
Làm thế nào để giải các mạch điện phức tạp bằng Định luật dòng điện Kirchhoff (KCL)?
Học cách giải các mạch phức tạp bằng Định luật dòng điện Kirchhoff (KCL)
Trong hướng dẫn này, chúng ta sẽ chỉ tập trung vào định luật dòng điện và phân tích nút. Định luật này được gọi là định luật dòng điện Kirchhoff, hay thường được gọi là KCL. Nó dựa trên nguyên lý bảo toàn điện tích. Về cơ bản, những gì đi vào thì phải đi ra.
Chúng ta đã nói về các nhánh và nút, và đây là nơi nó trở nên rất quan trọng. Trong bất kỳ nút nào, dòng điện chạy vào nút cũng phải chảy ra khỏi nút. Hãy xem hình ảnh bên dưới:

Trong hình ảnh này, bạn có thể thấy có một nút trung tâm với nhiều nguồn điện chảy vào và ra. Để sử dụng phép so sánh này với nước, hãy tưởng tượng rằng tất cả các đường ống đều đã đầy nước. Nếu bạn đưa phép so sánh này đi xa hơn một chút, bạn có thể thấy rằng tất cả các đường ống luôn đầy nước. Nếu bạn đổ nước vào một đường ống, nước phải chảy ra khỏi đường ống kia. Nếu nước chảy ra khỏi một đường ống, nước phải chảy ra khỏi đường ống kia. Về mặt khái niệm, điều này nghe có vẻ đơn giản và bạn đúng!
Trước khi thảo luận về cách khái niệm này liên quan đến phân tích nút, hãy nhớ rằng bạn tùy ý xác định hướng của dòng điện. Trước khi thực hiện bất kỳ phép tính nào, bạn cần xác định dòng điện và hướng của nó. Sau đó, các phép tính sẽ xuất hiện. Nếu bạn chọn sai hướng, dòng điện sẽ là âm. Trong trường hợp này, sử dụng hình ảnh ở trên, bạn có thể cho rằng tất cả dòng điện đều chảy vào nút. Bạn chỉ cần biết rằng ít nhất một (nếu không phải tất cả, nhưng một) dòng điện sẽ là âm.
Bài toán ví dụ 1
Bây giờ chúng ta đã biết rằng theo KCL thì mọi thứ đưa vào một nút cũng phải được đưa ra, chúng ta có thể bắt đầu tìm hiểu về phân tích nút.

Nhìn vào hình trên, bạn có thể thấy không có điện trở nào nối tiếp hoặc song song, do đó không thể đơn giản hóa. Ngoài ra, lưu ý rằng không có nguồn điện áp, chỉ có nguồn dòng điện, điều này làm đơn giản hóa KCL.
Bước 1) Bước đầu tiên tôi luôn thực hiện khi giải một mạch điện là xem lại những gì tôi đã thu được, những gì tôi cần và dành chút thời gian để hít thở sâu. Mạch điện đôi khi có thể phức tạp, nhưng dành thời gian và làm theo quy trình này chắc chắn sẽ đơn giản hóa vấn đề. Trong trường hợp này, chúng ta có ba điện trở và chúng ta biết giá trị của chúng. Chúng ta có hai nguồn dòng điện và chúng ta biết giá trị của chúng. Vì vậy, chỉ có hai nút (N 1 và N 2 ) mà chúng ta cần điện áp và một nhánh mà chúng ta cần biết dòng điện qua (R 3 ). Vì chúng ta đã xác định rằng chúng ta cần biết dòng điện qua R 3 , hãy đặt một mũi tên xuống bên cạnh R 3 và dán nhãn là I 3 .

Bước 2) Bây giờ chúng ta đã viết ra mọi thứ chúng ta biết và cần biết, hãy chọn một điểm nối đất tham chiếu, nếu chúng ta chưa làm như vậy. Đây cũng là một lựa chọn bán ngẫu nhiên. Bạn có thể chọn bất kỳ nút nào bạn muốn trong mạch, trong trường hợp này là N1 hoặc N2, và các phép tính sẽ hoạt động. Tuy nhiên, thông lệ chuẩn là chọn nút thấp nhất làm điểm nối đất. Ở trường, giáo viên đôi khi phải làm việc chăm chỉ để đảm bảo bạn hiểu trực quan những gì đang diễn ra. Điều đó ổn, nhưng hầu hết thời gian, bạn muốn có một sơ đồ rõ ràng, dễ làm theo và tuân theo các thông lệ tốt nhất. Vì vậy, hãy định nghĩa N2 là điểm nối đất tham chiếu.

Bước 3) Viết các phương trình cho dòng điện chạy qua các nhánh khác nhau. Trong trường hợp này, chúng ta đã biết dòng điện chạy qua R1 và R2, vì chúng là I1 (bằng 1A) và I2 (bằng 2A). Tuy nhiên, chúng ta vẫn chưa biết dòng điện chạy qua R3, hay I3, vì vậy chúng ta có thể định nghĩa nó là điện áp tại N1 trừ N2, là điện áp tham chiếu trong trường hợp này, trên điện trở. Nói cách khác:

Bước 4) Sử dụng các phương trình bạn đã tạo (chỉ có một phương trình trong trường hợp này), hãy ghép các phương trình cho dòng điện vào và ra khỏi mỗi nút. Vì vậy, tại N 1, chúng ta biết rằng chúng ta có I 1 và I 2 đi vào và I 3 đi ra. Một lần nữa, chúng ta đang giả định tất cả những điều này (và đó là một giả định rất hợp lý trong trường hợp này) và nếu các giả định của chúng ta sai, cách thể hiện sẽ là với dòng điện và điện áp âm. Vì vậy, về mặt toán học, phương trình của chúng ta tại N 1 là:

Vì chúng ta chỉ có một biến ẩn, nên chúng ta chỉ có một phương trình. Tuy nhiên, khi có nhiều ẩn số hơn, thì sẽ có nhiều phương trình hơn. Để giải các ẩn số, bạn cần ít nhất nhiều phương trình như các ẩn số. Ví dụ, nếu bạn muốn có hai điện áp, bạn sẽ cần hai phương trình để có được giá trị thực cho hai điện áp đó. Ba dòng điện? Ba phương trình. Chúng ta sẽ đi sâu hơn vào chi tiết sau.
Bước 5) Giải các ẩn số. Trong trường hợp này, khá đơn giản. Chúng ta biết các giá trị của I1 và I2, vì vậy chúng ta có thể thấy rằng I3 chỉ là 3A và tùy thuộc vào câu hỏi, đó có thể là tất cả những gì chúng ta cần. Nhưng nếu chúng ta được hỏi điện áp tại N1 là bao nhiêu, thì bây giờ chúng ta có thể sử dụng Định luật Ohm hoặc phương trình mà chúng ta đưa ra ở bước 3.

Chúng ta có thể sử dụng Định luật Ohm để xem nguồn điện tạo ra bao nhiêu điện áp để cung cấp một lượng dòng điện nhất định. Ví dụ, nếu R1 cung cấp 1A dòng điện qua điện trở 10Ω, chúng ta thấy rằng V = IR, tức là V = 1*10, do đó điện áp trên R1 phải là 10V. Tuy nhiên, vì N1 là 90V, điều đó có nghĩa là điện áp ở phía bên kia của điện trở phải là 100V để giảm 10V trên R1.

Tôi khuyên bạn nên thử tìm hiểu điện áp trên R2 và điện áp từ nguồn điện.
Tóm tắt sơ bộ các bước như sau:
- Xem lại những gì bạn có, dán nhãn mọi thứ bạn có thể, ghi lại tài liệu tham khảo, hít thở sâu, thực hiện chậm rãi, đừng hoảng sợ.
- Chọn vùng tham chiếu nếu cần.
- Bắt đầu viết phương trình dòng điện chạy qua các nhánh khác nhau.
- Sử dụng các phương trình hiện tại để thu thập các phương trình hiện tại đầu vào và đầu ra cho mỗi nút.
- Giải phương trình Đối với nhiều phương trình, hãy sử dụng đại số tuyến tính (ma trận) hoặc giải phương trình một biến và chèn biến đó vào phương trình tiếp theo cho đến khi bạn tìm thấy một số thực, sau đó quay lại và chèn các số thực đó cho mỗi giá trị.
Bài toán ví dụ 2
Hãy làm một bài toán ví dụ khác, bài toán này phức tạp hơn một chút, nhưng vẫn hợp lý. Lần này, thay vì sử dụng nguồn dòng điện, chúng ta sẽ sử dụng nguồn điện áp được kết nối với đất tham chiếu. Bài toán này không khó hơn nhiều, nhưng nó giúp hiểu rõ hơn về điện áp, có thể dễ dàng diễn đạt hơn dưới dạng dòng điện, do đó các phép tính phức tạp hơn nhiều.

Bước 1) Xem lại mọi thứ. Chúng ta có hai nguồn dòng điện và ba điện trở, tất cả đều có giá trị mà chúng ta biết. Chúng ta cũng có hai điện áp nút và ba dòng điện nhánh mà chúng ta không biết. Giả sử dòng điện qua R 1 là I 1 và đang chảy xuống, R 2 là I 2 và chảy sang trái, và R 3 là I 3 và cũng chảy xuống. Hãy đặt V 1 và V 2 tại N 1 và N 2 tương ứng để biểu diễn điện áp tại các nút đó.
Bước 2) Chúng ta có thể thấy rằng nguồn điện được kết nối với điểm được chỉ định là điểm nối đất tham chiếu ở cuối sơ đồ.
Bước 3) Chúng ta đã thiết lập được rằng I 1 = I 2 + I 3, nhưng hãy xác định các dòng điện này bằng điện áp. Gọi điện áp tại một nút chưa biết là V 1.

Bước 4) Từ hình vẽ, ta giả sử I1 đi vào nút và I2, I3 rời khỏi nút, khi đó ta lập được các phương trình sau:

Bước 5) Hãy giải phương trình này! Vì chúng ta chỉ có một nút chưa biết, nên chúng ta chỉ có một phương trình, vì vậy đây chỉ là một phép toán đại số đơn giản. Tất nhiên, đó là nơi tôi mắc 95% lỗi khi phân tích mạch, vì vậy đừng bất cẩn.

Bây giờ chúng ta hãy kiểm tra tính hợp lệ trước, nó có nhỏ hơn nguồn cung cấp 5V không? Có, nó có lớn hơn đất tham chiếu không? Có, nó sẽ không phải lúc nào cũng như bạn muốn, nhưng trong trường hợp này không có lý do gì để điện áp cao hơn nguồn cung cấp hoặc thấp hơn đất, vì vậy đây là một phép kiểm tra tính hợp lệ tốt. Ngoài ra, R 2 || R 3 vẫn có điện trở cao hơn R 1, vì vậy, có lý khi nó có điện áp cao hơn để mang cùng một lượng dòng điện qua R 1.
Nếu chúng ta muốn kiểm tra thêm, chúng ta có thể giải quyết dòng điện chạy qua mỗi nhánh và dòng điện phải bằng không. Tôi sẽ để bạn làm điều đó. Nó sẽ dễ dàng. Tôi sẽ viết câu trả lời trong một vài câu để bạn kiểm tra lại.
Cuối cùng, nếu bạn là người rất lo lắng và/hoặc tỉ mỉ, bạn có thể sử dụng kiến thức về điện trở song song và nối tiếp để biến mạch này thành một nguồn điện áp và điện trở duy nhất, và bạn sẽ nhận được cùng một lượng dòng điện qua điện trở duy nhất như bạn nhận được từ R1. Tôi khuyên bạn nên thử cách đó.
Để kiểm tra lại câu trả lời của bạn, tôi nhận được:

Và điện trở tương đương cho toàn bộ mạch là 287,5Ω, trong đó 5V/287,5Ω = 17,4mA, điều này chứng tỏ thêm rằng con số của chúng ta là chính xác.
Bạn không cần phải thực hiện tất cả các kiểm tra này hoặc không có thời gian để thực hiện chúng khi làm bài kiểm tra, nhưng việc thực hành có thể rất hữu ích và thực sự giúp bạn hiểu những điều này nếu bạn thực hiện chúng khi làm bài tập về nhà. Chỉ mất vài giây để xem các con số và xem chúng có "có ý nghĩa" không và nên thực hiện mỗi lần.
Bài toán ví dụ 3
Vì các ví dụ không đủ, chúng ta hãy làm một bài toán ví dụ khác phức tạp hơn một chút. Nếu bạn giống tôi, phần khó nhất là không làm rối tung toán học. Bài toán này đòi hỏi nhiều toán học hơn, vì vậy đừng mắc lỗi, vì điều này sẽ làm phức tạp bài toán nhanh chóng.

Bước 1) Xem lại mọi thứ. Chúng ta có hai nguồn dòng điện và ba điện trở, tất cả đều có giá trị đã biết. Chúng ta cũng có hai điện áp nút và ba dòng điện nhánh mà chúng ta không biết. Giả sử dòng điện qua R1 là I1 và chảy xuống, R2 là I2 và chảy sang trái, và R3 là I3 và cũng chảy xuống. Giả sử V1 và V2 lần lượt ở N1 và N2, để biểu diễn điện áp tại các nút đó.
Bước 2) Đặt nút tham chiếu ở phía dưới tại N 3.

Bước 3) Thiết lập phương trình cho dòng điện chạy qua mỗi nhánh.

LƯU Ý! Vì chúng ta định nghĩa dòng điện từ phải sang trái, điều đó có nghĩa là chúng ta đang giả định dòng điện chạy từ V2 đến V1. Nếu chúng ta giả định dòng điện chạy theo hướng ngược lại, phương trình sẽ là (V1 - V2)/20 — hãy đảm bảo phương trình của bạn khớp với hướng dòng điện chạy.

Bước 4) Sử dụng phương trình từ bước 3 để xác định dòng điện đi vào và ra khỏi nút 1 và nút 2. Cá nhân tôi thích đơn giản hóa phương trình và sắp xếp sao cho nó bằng một số thực, nhưng đó chỉ là ý kiến của tôi. Nó không thực sự quan trọng.
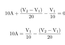
Tại Node1:

Tại Node2:

Bước 5) Bây giờ chúng ta đã giải xong các phương trình. Không giống như bài toán trước, bây giờ chúng ta có hai biến chưa biết (V1 và V2) và hai phương trình. Chúng ta có thể giải V1 trong một phương trình rồi thay V1 vào phương trình kia, hoặc chúng ta có thể đưa giá trị này vào một ma trận. Hãy làm cả hai.
Phương pháp 1:
Sử dụng phương trình từ Node1 chúng ta có

Sau đó chúng ta thay thế các giá trị vào phương trình từ Node2:

Bây giờ chúng ta đã biết V2, chúng ta có thể thay thế nó trở lại bất kỳ phương trình nào.

Và bạn có thể dễ dàng nhập những con số đó vào để tìm ra công suất.
Bây giờ, nếu chúng ta muốn giải bài toán này bằng ma trận, chúng ta cần đưa các phương trình về dạng đúng, bắt đầu với điện áp đầu tiên, sau đó là điện áp thứ hai và làm cho chúng bằng các số thực:
Tại Node1:

Tại Node2:

Nó sẽ trở thành:
Bạn có thể tính toán bằng tay hoặc nhập vào máy tính ma trận trên thiết bị di động hoặc sử dụng máy tính phương trình tuyến tính của CircuitBread, máy tính này sẽ cho kết quả sau:

Phương pháp này phù hợp với tính toán của chúng tôi và giúp tôi tự tin hơn khi trả lời các câu hỏi! Bạn có thể không có thời gian để thực hiện cả hai phương pháp trong bài kiểm tra, nhưng nếu bạn có thời gian để làm bài tập về nhà hoặc tự học, đây là cách thực hành tốt và sẽ giúp bạn kiểm tra lại câu trả lời của mình.
Đây rồi - cuối cùng! Đó là ý tưởng đằng sau Định luật dòng điện Kirchhoff, hay KCL, và cách áp dụng vào phân tích nút. Mạch điện trở nên phức tạp hơn, các phép tính trở nên khó hơn và giáo viên hoặc cuộc sống có thể cố gắng làm bạn vấp ngã, nhưng miễn là bạn nhớ rằng tổng của tất cả các dòng điện đi vào và ra khỏi một nút bằng không, bạn có thể xây dựng trên nền tảng kiến thức đó bằng kinh nghiệm và thực hành.

