
Phân tích mạch RLC (Nối tiếp và song song)
Khám phá rằng điện trở Cuộn cảm và tụ điện tương tác như thế nào trong mạch RLC?
Mạch RLC bao gồm ba thành phần chính: điện trở, cuộn cảm và tụ điện, tất cả đều được kết nối với nguồn điện áp Các thành phần này là các thành phần thụ động, có nghĩa là chúng hấp thụ năng lượng và chúng tuyến tính, cho thấy mối quan hệ trực tiếp giữa điện áp và dòng điện.
Mạch RLC có thể được kết nối theo nhiều cách khác nhau, với kết nối nối tiếp và song song là phổ biến nhất, không giống như mạch LC, dao động vô thời hạn.
Mạch sê-ri RLC
Trong mạch RLC nối tiếp, điện trở, cuộn cảm và tụ điện được liên kết với nguồn điện áp, tạo ra một đường dẫn liên tục cho dòng điện.
Vì tất cả các thành phần này được kết nối nối tiếp nên dòng điện trong mỗi phần tử vẫn giữ nguyên.

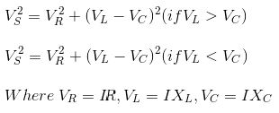
Cho phép VR là điện áp trên điện trở R
VL là điện áp trên cuộn cảm L.
VC là điện áp trên tụ điện C.
XL là một phản ứng cảm ứng.
XC là một phản ứng điện dung.
Tổng điện áp trong mạch RLC không bằng tổng đại số của các điện áp trên điện trở, cuộn cảm và tụ điện, nhưng nó là tổng vectơ, bởi vì trong trường hợp điện trở, điện áp cùng pha với dòng điện, đối với cuộn cảm, điện áp dẫn điện là 90o, và đối với tụ điện, điện áp bị trễ so với dòng điện. 90o (theo ELI the ICE Man)

Do đó, các điện áp trong mỗi thành phần không cùng pha với nhau nên không thể thêm vào bằng toán học. Hình dưới đây cho thấy sơ đồ pha của mạch. RLC nối tiếp để lập sơ đồ pha cho mạch nối tiếp Dòng điện RLC được sử dụng làm tham chiếu, vì trong mạch nối tiếp, dòng điện trong mỗi phần tử vẫn giữ nguyên và vectơ điện áp tương ứng cho mỗi phần tử được vẽ có tham chiếu đến vectơ dòng điện chung.

Trở kháng cho mạch RLC nối tiếp

Trở kháng Z của mạch RLC nối tiếp được định nghĩa là điện trở đối với dòng điện do điện trở mạch R, điện kháng cảm ứng, XL và phản ứng điện dung, XC. Nếu phản ứng cảm ứng lớn hơn phản ứng điện dung, ví dụ: XL>XC, mạch RLC sẽ có góc pha trễ. Một mạch RLC sẽ có góc pha dẫn điện, và nếu cả cảm ứng và điện dung đều giống nhau, tức là XL = XC, mạch sẽ hoạt động như một mạch điện trở thuần túy.
Chúng tôi biết rằng

Ở đâu?

Thay thế giá trị

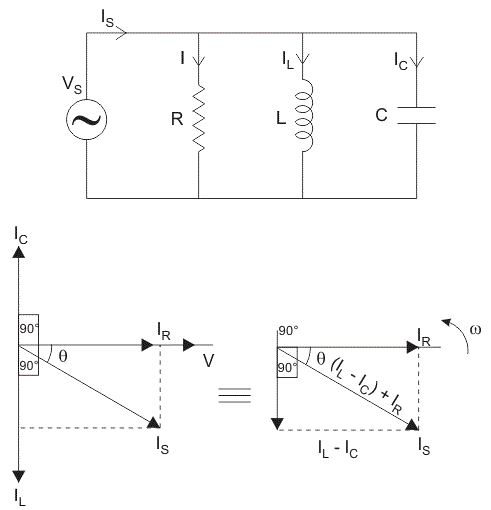
Mạch RLC song song
Trong mạch RLC song song, điện trở, cuộn cảm và tụ điện đều được kết nối thông qua cùng một nguồn điện áp. Nhưng nó hoạt động độc lập, với một hằng số, điện áp trong mỗi người trong số họ và tổng dòng điện được tách ra với nhau.

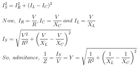
Tổng dòng điện rút ra từ nguồn cung cấp không bằng tổng toán học của dòng điện chạy trong mỗi thành phần, mà bằng tổng vectơ của tất cả các dòng điện, vì dòng điện chạy trong điện trở, cuộn cảm và tụ điện không ở cùng một pha, vì vậy chúng không thể gia tăng về mặt toán học.
Sơ đồ pha của mạch RLC song song IR là dòng điện chạy trong điện trở R tính bằng ampe.
IC là dòng điện chạy trong tụ điện C đến ampe.
IL là dòng điện chạy trong cuộn cảm, L là amp.
Tôi hiện tại trong amps.
Trong mạch RLC song song, tất cả các thành phần được kết nối song song, do đó điện áp trong mỗi phần tử là như nhau, vì vậy để vẽ sơ đồ phaser, hãy sử dụng điện áp làm vectơ tham chiếu và tất cả các dòng điện khác như IR, ICIC, IL được vẽ tương đối với vectơ điện áp này. Dòng điện qua mỗi phần tử có thể được tìm thấy bằng cách sử dụng định luật dòng điện của Kirchhoff, nói rằng tổng của dòng điện đi vào một giao điểm hoặc nút bằng tổng của dòng điện rời khỏi nút đó.

Như thể hiện ở trên trong phương trình trở kháng Z của mạch RLC song song, mỗi phần tử có trở kháng đảo ngược (1 / Z), tức là nạp Y, vì vậy trong mạch RLC song song, sẽ thuận tiện khi sử dụng trở kháng thay vì trở kháng.
Tiếng vang trong mạch RLC
Trong mạch có cuộn cảm và tụ điện, năng lượng được lưu trữ theo hai cách khác nhau.
- Khi dòng điện chạy trong cuộn cảm, năng lượng được lưu trữ trong từ trường.
- Khi tụ điện được sạc, năng lượng được lưu trữ trong trường tĩnh điện.
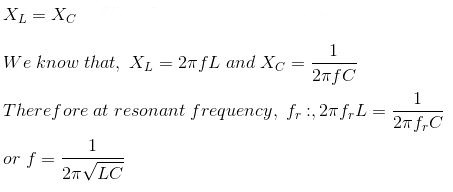
Từ trường trong cuộn cảm được tạo ra bởi dòng điện, được nhận bởi tụ điện phóng điện, tương tự, tụ điện được tích điện bởi dòng điện được tạo ra bởi sự sụp đổ của từ trường của cuộn cảm, và quá trình này tiếp tục vô thời hạn, làm cho năng lượng điện dao động giữa từ trường và điện trường, trong một số trường hợp một tần số nhất định, được gọi là tần số cộng hưởng cộng hưởng, phản ứng cảm ứng của mạch bằng phản ứng điện dung, làm cho năng lượng điện dao động giữa điện trường của tụ điện và từ trường của cuộn cảm.
Công thức cho tần số cộng hưởng
Trong quá trình phản xạ ở một tần số nhất định được gọi là tần số cộng hưởng.

Khi cộng hưởng xảy ra, phản ứng cảm ứng của mạch bằng phản ứng điện dung, làm cho trở kháng của mạch thấp nhất trong trường hợp mạch. RLC nối tiếp, nhưng khi điện trở, cuộn cảm và tụ điện được kết nối song song, trở kháng của mạch là cực đại, vì vậy mạch RLC song song đôi khi được gọi là bộ bảo vệ cộng hưởng. Lưu ý rằng tần số cộng hưởng thấp nhất của một vật rung được gọi là tần số cơ bản.
Sự khác biệt giữa mạch RLC nối tiếp và mạch RLC song song
Phương trình mạch RLC

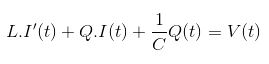
Hãy xem xét một mạch RLC với điện trở R, cuộn cảm L và tụ điện C được nối tiếp và được điều khiển bởi nguồn điện áp V, hãy để Q là điện tích trên tụ điện và dòng điện chạy trong mạch là I.

Trong phương trình này, kháng cự Điện cảm Dòng điện và điện áp là những đại lượng đã biết, nhưng dòng điện và điện tích là những đại lượng chưa biết. Chúng ta biết rằng dòng điện là tốc độ điện tích chạy qua, vì vậy nó được xác định bởi

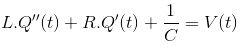
Phân biệt lại: I'(t) = Q'' (t)

Sự vi phân của phương trình trên đối với 't' mà chúng ta nhận được

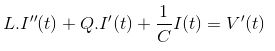
Bây giờ tại thời điểm t = 0, V (0) = 0 và tại thời điểm t = t, V (t) = Eosinωt.
Phân biệt bằng 't' chúng ta nhận được V'(t) = ωEocosωt.
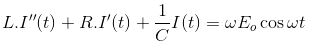
Thay thế giá trị của V'(t) trong phương trình trên.

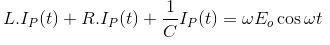
Giả sử câu trả lời cho phương trình này là IP(t) = Asin(ωt – ǿ), và nếu IP(t) là câu trả lời cho phương trình trên, thì nó phải tuân theo phương trình này.

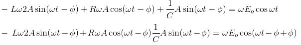
Bây giờ thay thế giá trị của IP(t) và phân biệt sự khác biệt mà chúng ta nhận được.

Lấy công thức cos (A + B) và kết hợp các số hạng tương tự mà chúng ta nhận được.

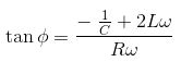
Khớp các hệ số sin (ωt - φ) và cos (ωt - φ) trên cả hai bên mà chúng ta nhận được.

Bây giờ chúng ta có hai phương trình và hai phương trình chưa biết, chẳng hạn như φ và A.

Bình phương và cộng phương trình trên Chúng tôi sẽ nhận được

Phân tích mạch RLC bằng cách sử dụng biến đổi Laplase
Bước 1: Vẽ sơ đồ pha cho một mạch nhất định.
Bước 2: Sử dụng quy tắc điện áp của Kirchhoff trong mạch nối tiếp RLC và quy tắc dòng điện trong mạch song song RLC để tạo phương trình vi phân trong miền thời gian.
Bước 3: Sử dụng phép biến đổi Laplace để chuyển đổi các phương trình vi phân này từ miền thời gian sang miền s.
Bước 4: Để tìm các biến chưa biết, hãy giải các phương trình này.
Bước 5: Sử dụng phép biến đổi Laplace nghịch đảo để chuyển đổi phương trình ngược từ miền s sang miền thời gian.
Ứng dụng của mạch RLC
Được sử dụng làm bộ lọc thông thấp, bộ lọc thông cao, bộ lọc thông dải, bộ lọc dải, hệ số điện áp và mạch dao động, được sử dụng để điều chỉnh radio hoặc bộ thu âm thanh.
