Tăng tỷ lệ loại bỏ chế độ chung của bộ khuếch đại vi sai
Khám phá cách các điện trở được khớp chính xác làm tăng đáng kể Tỷ lệ loại bỏ chế độ chung (CMRR).
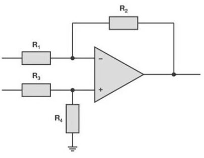
Các mạch khuếch đại vi sai, chẳng hạn như trong Hình 1, rất cần thiết trong công nghệ tương tự cho nhiều ứng dụng. Ví dụ, công nghệ đo lường, có thể yêu cầu độ chính xác đo rất cao. Nó phụ thuộc vào ứng dụng. Để đạt được độ chính xác này, điều quan trọng là phải giảm thiểu các nguồn lỗi phổ biến, chẳng hạn như lỗi bù và khuếch đại, cũng như nhiễu, dung sai và độ trôi đến mức tối thiểu. Với mục đích này, bộ khuếch đại quang có độ chính xác cao được sử dụng. Ngoài ra, các thành phần bên ngoài của mạch khuếch đại, đặc biệt là điện trở, phải có tỷ lệ phù hợp, không phải bộ chọn cố định.
Tốt nhất, nên chọn điện trở trong mạch khuếch đại vi sai sao cho tỷ lệ của các điện trở giống nhau (R2 / R1 = R4 / R3). Bất kỳ sai lệch nào so với các tỷ lệ này sẽ dẫn đến dung sai đồng chế độ không mong muốn. Khả năng của mạch khuếch đại vi sai loại bỏ dung sai đồng chế độ này được biểu thị bằng tỷ lệ loại bỏ đồng chế độ (CMRR). Điều này cho biết điện áp đầu ra thay đổi như thế nào khi điện áp đầu vào giống nhau (điện áp đồng chế độ). Trong trường hợp tốt nhất, điện áp đầu ra không được thay đổi, vì nó phụ thuộc vào sự khác biệt giữa hai điện áp đầu vào (CMRR tối đa). CMRR là một tính năng quan trọng của mạch khuếch đại vi sai và thường được biểu thị bằng decibel.
Đối với các mạch khuếch đại vi sai, chẳng hạn như trong Hình 1, giá trị CMRR được xác định bởi chính bộ khuếch đại, cũng như điện trở được kết nối bên ngoài.

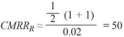
Ví dụ, độ lợi yêu cầu của G = 1 và việc sử dụng điện trở có dung sai 1% phù hợp với 2% trong mạch khuếch đại sẽ dẫn đến tỷ lệ loại bỏ chế độ chung là

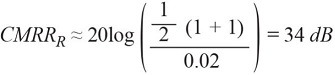
hoặc tính bằng decibel.

ở 34 dB Giá trị CMRR R tương đối thấp. Trong trường hợp này, ngay cả khi bộ khuếch đại có giá trị CMRR rất tốt, nó cũng không thể cung cấp độ chính xác cao, vì cáp tín hiệu sẽ luôn mạnh bằng điểm yếu nhất của nó. Do đó, để có mạch đo chính xác, điện trở được chọn cũng phải có độ chính xác rất cao.
Thực tế Điện trở thông thường không có giá trị hằng số. Các điện trở này phải chịu tải trọng cơ học và hiệu ứng nhiệt độ. Điện trở có dung sai khác nhau, hoặc điện trở hoặc mạng được ghép nối. Hầu hết chúng được sản xuất bằng công nghệ màng mỏng và cung cấp độ ổn định tỷ lệ chính xác. Các điện trở được ghép nối này (ví dụ: mạng điện trở bốn cặp LT5400) có thể cải thiện đáng kể giá trị CMRR tổng thể của mạch khuếch đại. Mạng điện trở LT5400 đảm bảo giá trị CMRR tốt gấp đôi so với điện trở mô-đun do khả năng kết hợp tuyệt vời trong phạm vi nhiệt độ, đặc biệt là khi được sử dụng cùng với bộ khuếch đại vi sai.
Do đó, LT5400 cung cấp kết quả khớp 0.005%, dẫn đến CMRR R là 86 dB.
Tuy nhiên, Tỷ lệ loại bỏ chế độ kết hợp của mạch khuếch đại (CMRR Total) được hình thành bởi sự kết hợp của điện trở CMRR R và Tỷ lệ loại bỏ chế độ chung của Op Amp (CMRR OP) cho mạch khuếch đại vi sai, được tính bằng phương trình 3:

Đối với giá trị CMRR OP điển hình là 112 dB như được đề xuất bởi LT1468 trở đi và giá trị khuếch đại G = 1 với LT5400 mang lại giá trị 85.6 dB cho tổng CMRR.
Ngoài ra, có thể sử dụng mạch khuếch đại vi sai tích hợp như LTC6363. Loại mạch khuếch đại này bao gồm một mạch khuếch đại thực tế và một điện trở được ghép nối đúng cách đã có trong chip. Mạch này loại bỏ hầu hết các vấn đề được đề cập ở trên và cũng cung cấp độ chính xác tối đa ở các giá trị CMRR lớn hơn 90 dB.
Kết luận
Mạch điện trở bên ngoài phải được lựa chọn cẩn thận theo yêu cầu độ chính xác của mạch khuếch đại vi sai để đạt được hiệu suất hệ thống cao.
Ngoài ra, có thể sử dụng bộ khuếch đại vi sai tích hợp như LTC6363 với điện trở phù hợp tích hợp trên chip.
.jpg)
