Máy dò photon đơn hoặc bộ đếm photon đơn là máy dò có thể chụp và ghi lại các photon riêng lẻ. Điều này đặc biệt hữu ích cho các phép đo như quang phổ hiệu chỉnh thời gian, phép đo tuổi thọ huỳnh quang và kính hiển vi quang tử lượng tử, và thậm chí một số máy dò vật lý hạt (chẳng hạn như trong bức xạ Cherenkov).
Thực tế Hệ thống Tuổi thọ huỳnh quang đo thời gian giữa lời nhắc (ví dụ: xung laser kích thích) và phát xạ huỳnh quang thu được. Máy dò photon đơn kết hợp với các thiết bị điện tử khác Nó chuyển đổi tín hiệu photon đến thành đầu ra kỹ thuật số. Các máy dò này thường được sử dụng để đo thời gian.
Các máy dò này cung cấp tín hiệu hoạt động như một dấu thời gian cho ánh sáng. Khi kết hợp với nguồn sáng xung (đặt huỳnh quang ở trạng thái kích thích) và các thành phần điện tử khác (để xử lý tín hiệu này), nó là một phần rất quan trọng của quá trình. Các hệ thống này sẽ tạo ra một đường cong phân rã huỳnh quang photon từng photon. Mỗi phép đo được vẽ trên biểu đồ để tạo đường cong phân rã huỳnh quang cho một vật liệu cụ thể.
Ống nhân quang (PMT) thường là lựa chọn tiêu chuẩn cho máy dò photon đơn, nhưng các lựa chọn thay thế như điốt tuyết lở đơn photon (SPAD) có thể cung cấp thời gian phản hồi rẻ hơn và nhanh hơn. Khu vực ứng dụng lớn rất quan trọng trong SPD vì cường độ tín hiệu tương đối thấp. Một trong những lợi ích chính của PMT là diện tích ứng dụng rộng lớn của nó.
Các thông số chính của máy dò photon đơn
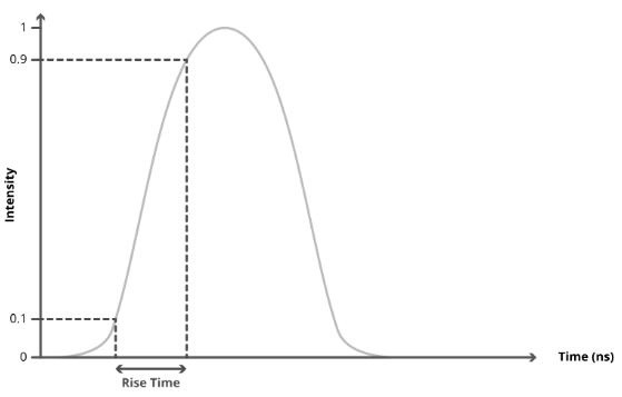
Tăng thời gian
Thời gian tăng lên của một máy dò photon thể hiện sự gia tăng tốc độ của xung đến từ 10% lên 90% cường độ. Điều này định lượng tốc độ phản ứng của máy dò sau khi một photon tấn công, đây là một lượng quan trọng để đo thời gian chính xác. Các nguồn sáng xung LED tốt nhất có độ rộng xung là 100 picogiây, vì vậy các máy dò tương thích sẽ có nhiều thời gian hơn ở mức này để đo tín hiệu từ các nguồn sáng này mà không cần mở rộng thêm phạm vi tối đa.

Thời gian chết
Thời gian chết là một yếu tố quan trọng khác đối với máy dò photon đơn. Thời gian chết định lượng lượng thời gian cần thiết để khôi phục hệ thống từ photon đến và sẵn sàng cho một tín hiệu đến khác. Điều này xác định tỷ lệ lặp lại của máy dò. Có một số thành phần ảnh hưởng đến thời gian chết của máy dò. Ví dụ, một yếu tố góp phần là hệ thống không thể phát hiện nhiều hơn một sự kiện trong mỗi thời gian kích thích. Tuy nhiên, vì tỷ lệ xung trên phát hiện nhỏ hơn 1 photon được phát hiện trên 50 xung kích thích, nó không phải là một yếu tố hạn chế.
Thông thường, các yếu tố quan trọng hơn là máy dò và thời gian chết của phép biến đổi lồng nhau. Điều này thể hiện thời gian cần thiết để máy dò hoặc thiết bị điện tử được chuyển đổi xử lý tín hiệu.
Chênh lệch thời gian vận chuyển
Bất kỳ thời gian có hệ thống nào cần thiết để một photon được xử lý đều có thể được tính là thời gian trễ có thể sửa chữa. Do đó, vấn đề chính ảnh hưởng đến việc phân giải thời gian là phân bổ thời gian vận chuyển. Điều này định lượng sự lan truyền trong thời gian từ electron mở rộng đầu tiên đến electron cuối cùng.
Tỷ lệ đếm bóng tối
Một chỉ số quan trọng khác là tốc độ đếm tối của máy dò. Điều này thể hiện số lượng tín hiệu được phát hiện khi không có tín hiệu thực tế. Nói cách khác, đây là tiếng ồn cơ bản liên tục của hệ thống. Giá trị này được đo bằng số lần mỗi giây (cps) hoặc Hz.
Tăng lượng tử và hiệu quả
Độ lợi định lượng sự khuếch đại từ một photon đơn lẻ đến tín hiệu dòng điện đo được. Hiệu suất lượng tử đo khả năng của máy dò để chuyển đổi từng photon tới thành một dòng điện cô lập và đo nó trong dải bước sóng cho máy dò.
Cả hai đều là những tính năng quan trọng trong một máy dò photon duy nhất, nhưng chúng chỉ được đáp ứng các yêu cầu cần thiết cho các phép đo của bạn. Miễn là độ lợi thu được đủ lớn để tạo ra dòng điện đo được ở cực dương của máy dò, độ lợi là đủ cho một máy dò photon duy nhất. Tương tự, để có hiệu suất lượng tử, bạn chỉ cần đảm bảo rằng phát xạ huỳnh quang nằm trong phạm vi mà máy dò ánh sáng có hiệu suất lượng tử tốt.
Ống nhân quang
Thiết bị được sử dụng phổ biến nhất trong một máy dò photon đơn là ống nhân quang (PMT). Các photon đến kích hoạt giải phóng một số electron, mỗi electron có thể kích hoạt giải phóng nhiều electron hơn. Điều này có nghĩa là các photon đến có thể dễ dàng được khuếch đại thành các tín hiệu điện quan trọng. Các dinode thường được sắp xếp trong một loạt các tấm hoặc trong các cấu trúc hình ống.
Microchannel Plate PMT (MCP) là một dạng phổ biến của PMT được sử dụng để đếm các photon đơn lẻ so với thời gian. Các ống này được phủ bằng vật liệu dinoid, vì vậy các photon đến tạo ra tín hiệu điện đồng đều.
PMT chuỗi dynode lớn hơn và kém hiệu quả hơn PMT MCP. Do đó, nó có cùng thời gian vận chuyển. Tuy nhiên, PMT khủng long có giá thấp hơn MCP và phù hợp với nhiều ứng dụng máy dò photon đơn.
Diode tuyết lở photon đơn
Điốt tuyết lở photon đơn (SPAD) cũng đã được thiết lập như một máy dò tốt cho các hệ thống thời gian có độ phân giải cao. Chúng ít tốn kém hơn và có thời gian phản hồi nhanh hơn so với các ống nhân quang thay thế.
Hệ thống SPAD sử dụng điốt quang theo phân cực ngược, trong đó điện áp đánh thủng thấp hơn điện áp của một photon đơn. Một photon đơn tạo thành một cặp electron-lỗ trống, gây ra chuyển động của các electron thứ cấp. Các máy dò này thường được sử dụng trong các kiến trúc bán dẫn được gia cố oxit kim loại. Chúng có thể đạt được thời gian tăng dần của picogiây, vì vậy tuổi thọ huỳnh quang có thể được đo theo thứ tự nano giây.
Tuy nhiên, SPAD cần khôi phục điện áp ban đầu sau bất kỳ sự kiện nào, vì vậy thời gian chết là 10 giây nano giây. Một trong những vấn đề của việc sử dụng điốt quang tuyết lở là diện tích ứng dụng nhỏ. Máy dò cần diện tích lớn nhất có thể. Điều này là do rất khó để tập trung huỳnh quang vào một khu vực nhỏ và diện tích khả dụng của điốt quang nhỏ hơn đáng kể so với PMT.
